Page 19 - 0066
P. 19
17
ิ
์
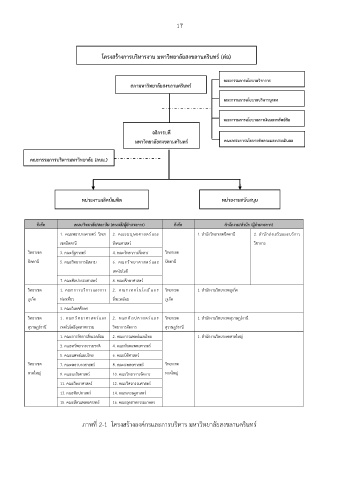
โครงสร้างการบริหารงาน มหาวทยาลัยสงขลานครินทร (ต่อ)
ิ
คณะกรรมการนโยบายวชาการ
สภามหาวิทยาลัยสงขลานครินทร์
ิ
คณะกรรมการนโยบายบรหารบุคคล
ิ
คณะกรรมการนโยบายการเงนและทรัพย์สิน
อธิการบดี
มหาวิทยาลัยสงขลานครินทร์ คณะกรรมการนโยบายติดตามและประเมินผล
คณะกรรมการบริหารมหาวิทยาลัย (กบม.)
หน่วยงานผลิตบัณฑิต หน่วยงานสนับสนุน
สังกัด คณะ/วิทยาลัย/สถาบัน (คณบดี/ผู้อำนวยการ) สังกัด สำนักงาน/สำนัก (ผู้อำนวยการ)
1. คณะพยาบาลศาสตร์ วิทยา 2. คณะมนุษยศาสตร์และ 1. สำนักวิทยาเขตปัตตานี 2. สำนักส่งเสริมและบริการ
เขตปัตตานี สังคมศาสตร์ วิชาการ
วิทยาเขต 3. คณะรัฐศาสตร์ 4. คณะวิทยาการสื่อสาร วิทยาเขต
ปัตตานี 5. คณะวิทยาการอิสลาม 6. คณะวิทยาศาสตร์และ ปัตตานี
เทคโนโลยี
7. คณะศิลปกรรมศาสตร์ 8. คณะศึกษาศาสตร์
วิทยาเขต 1. คณะการบริการและการ 2. คณะเทคโนโลยีและ วิทยาเขต 1. สำนักงานวิทยาเขตภูเก็ต
ภูเก็ต ท่องเที่ยว สิ่งแวดล้อม ภูเก็ต
3. คณะวิเทศศึกษา
วิทยาเขต 1. คณะวิทยาศาสตร์และ 2. คณะศิลปศาสตร์และ วิทยาเขต 1. สำนักงานวิทยาเขตสุราษฎร์ธานี
สุราษฎร์ธานี เทคโนโลยีอุตสาหกรรม วิทยาการจัดการ สุราษฎร์ธานี
1. คณะการจัดการสิ่งแวดล้อม 2. คณะการแพทย์แผนไทย 1. สำนักงานวิทยาเขตหาดใหญ่
3. คณะทรัพยากรธรรมชาต ิ 4. คณะทันตแพทยศาสตร์
5. คณะแพทย์แผนไทย 6. คณะนิติศาสตร์
วิทยาเขต 7. คณะพยาบาลศาสตร์ 8. คณะแพทยศาสตร์ วิทยาเขต
หาดใหญ่ 9. คณะเภสัชศาสตร์ 10. คณะวิทยาการจัดการ หาดใหญ่
11. คณะวิทยาศาสตร์ 12. คณะวิศวกรรมศาสตร์
13. คณะศิลปศาสตร์ 14. คณะเศรษฐศาสตร์
15. คณะสัตวแพทยศาสตร์ 16. คณะอุตสาหกรรมเกษตร
ภาพที่ 2-1 โครงสร้างองค์กรและการบริหาร มหาวิทยาลัยสงขลานครินทร์

